题目内容
一动圆与圆x2+y2+6x+5=0外切,同时与圆x2+y2-6x-91=0内切,则动圆圆心M的轨迹方程是 .
【答案】分析:求出两个圆的圆心与半径,设出动圆的圆心坐标,判断动圆的圆心的轨迹满足椭圆的定义,然后求解方程.
解答:解:设动圆圆心为M(x,y),半径为R,设已知圆的加以分别为O1、O2,
将圆x2+y2+6x+5=0的方程分别配方得:(x+3)2+y2=4,
圆x2+y2-6x-91=0化为(x-3)2+y2=100,
当动圆与圆O1相外切时,有|O1M|=R+2…①
当动圆与圆O2相内切时,有|O2M|=10-R…②
将①②两式相加,得|O1M|+|O2M|=12>|O1O2|,
∴动圆圆心M(x,y)到点O1(-3,0)和O2(3,0)的距离和是常数12,
所以点M的轨迹是焦点为点O1(-3,0)、O2(3,0),长轴长等于12的椭圆.
∴2c=6,2a=12,
∴c=3,a=6
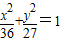
∴b2=36-9=27
∴圆心轨迹方程为
.
故答案为:
.
点评:本题以两圆的位置关系为载体,考查椭圆的定义,考查轨迹方程,确定轨迹是椭圆是关键.
解答:解:设动圆圆心为M(x,y),半径为R,设已知圆的加以分别为O1、O2,
将圆x2+y2+6x+5=0的方程分别配方得:(x+3)2+y2=4,
圆x2+y2-6x-91=0化为(x-3)2+y2=100,
当动圆与圆O1相外切时,有|O1M|=R+2…①
当动圆与圆O2相内切时,有|O2M|=10-R…②
将①②两式相加,得|O1M|+|O2M|=12>|O1O2|,
∴动圆圆心M(x,y)到点O1(-3,0)和O2(3,0)的距离和是常数12,
所以点M的轨迹是焦点为点O1(-3,0)、O2(3,0),长轴长等于12的椭圆.
∴2c=6,2a=12,
∴c=3,a=6
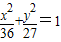
∴b2=36-9=27
∴圆心轨迹方程为
故答案为:
点评:本题以两圆的位置关系为载体,考查椭圆的定义,考查轨迹方程,确定轨迹是椭圆是关键.
练习册系列答案
相关题目