题目内容

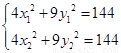
椭圆内的一点,过点P的弦恰好以P为中点,那么这弦所在的直线方程(    )

A.       B.

C.      D.

 

【答案】

B.

【解析】

试题分析:设弦的两端点坐标为,因为点P是中点,所以=6,=4.又因为,两式相减可得.

即直线的斜率为,所以所求的直线为.故选B.本题的解题采用点差法求出斜率是突破口.

考点:1.线段的中点公式.2.点差法的应用.3.直线方程的表示.

 

练习册系列答案
相关题目

违法和不良信息举报电话:027-86699610 举报邮箱:58377363@163.com

精英家教网