题目内容
(1)计算:(2)已知a=lg2,10b=3,用a,b表示
【答案】分析:(1)根据指数幂的运算法则,和对数运算法则分别化简即可
(2)先表示出b,再根据对数运算法则化简
,用a、b表示即可
解答:解:(1)原式=
=
=
(2)∵10b=3
∴b=lg3
又∵a=lg2
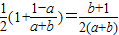
∴
=
=
点评:本题考查指数运算和对数运算,要求熟练掌握指数运算法则和对数运算法则,能熟练变形和应用公式.属简单题
(2)先表示出b,再根据对数运算法则化简
解答:解:(1)原式=
(2)∵10b=3
∴b=lg3
又∵a=lg2
∴
点评:本题考查指数运算和对数运算,要求熟练掌握指数运算法则和对数运算法则,能熟练变形和应用公式.属简单题
练习册系列答案
相关题目