题目内容
已知函数
,x∈R。
(1)求y=f(x)的值域;
(2)求y=f(x)的增区间;
(3)判断直线x=
是否为y=f(x)的对称轴,并说明理由。
(1)求y=f(x)的值域;
(2)求y=f(x)的增区间;
(3)判断直线x=
解:(1)
,
∵x∈R,
∴
,
令
,
则
,

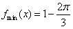
当u=-1时,
;
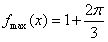
当u=1时,
,
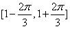
所以,值域为
。
(2)在[-1,1]上,g(u)为减函数,要求f(x)的增区间,只要求u=cos2x的减区间,
由
,得
,
所以,y=f(x)的增区间是
。
(3)不是。
,
,
得
,
所以,直线
不是y=f(x)的对称轴。
∵x∈R,
∴
令
则
当u=-1时,
所以,值域为
(2)在[-1,1]上,g(u)为减函数,要求f(x)的增区间,只要求u=cos2x的减区间,
由
(3)不是。
得
所以,直线
练习册系列答案
相关题目