题目内容
已知点M(2,0),P为抛物线C:y2=2px(p>0)上一动点,若|PM|的最小值为(1)求抛物线C的方程;
(2)已知⊙M:(x-2)2+y2=r2(r>0),过原点O作⊙M的两条切线交抛物线于A,B两点,若直线AB与⊙M也相切.
(i)求r的值;
(ii)对于点Q(t2,t),抛物线C上总存在两个点R,S,使得△QRS三边与⊙M均相切,求t的取值范围.
【答案】分析:(1)点M(2,0),P为抛物线C:y2=2px(p>0)上一动点,设P(
,y),所以|PM|2=(
-2)2+y2=
y4+(1-
)y2+4,由此能求出抛物线C的方程.
(2)(i)由题意A(2+r,
),B(2+r,-
),知
,由此能求出r.
(ii)设
,则
,△QRS三边与⊙M均相切,故
,由此能求出t.
解答:解:(1)∵点M(2,0),P为抛物线C:y2=2px(p>0)上一动点,设P(
,y),
∴|PM|2=(
-2)2+y2=
y4+(1-
)y2+4,
∴对称轴为y2=2p(2-p).
当p≥2,|PM|min=2,舍
当0<p<2,
,解得
或
(舍),
所以y2=x.
(2)(i)由题意A(2+r,
),B(2+r,-
),
∴
,
OA:y=
,∴
,
∴(r-1)(r+2)2=1,
解得r=1.
(ii)设
,则
∵△QRS三边与⊙M均相切,
∴
,从而
,将t1换成t2也成立
因为t1≠t2,所以t2≠1
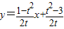
故t1,t2为方程(1-t2)x2-2tx+t2-3=0的两根,
∴
,
故
,即
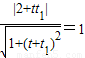
,
圆心到RS的距离
,
解得t=±1.
故t的取值范围是{-1,1}.
点评:本题考查抛物线方程的求法,考查实数值的求法,考查满足条件的实数的取值范围的求法.解题时要认真审题,仔细解答,注意点到直线的距离公式的求法.
(2)(i)由题意A(2+r,
(ii)设
解答:解:(1)∵点M(2,0),P为抛物线C:y2=2px(p>0)上一动点,设P(
∴|PM|2=(
∴对称轴为y2=2p(2-p).
当p≥2,|PM|min=2,舍
当0<p<2,
所以y2=x.
(2)(i)由题意A(2+r,
∴
OA:y=
∴(r-1)(r+2)2=1,
解得r=1.
(ii)设
∵△QRS三边与⊙M均相切,
∴
因为t1≠t2,所以t2≠1
故t1,t2为方程(1-t2)x2-2tx+t2-3=0的两根,
∴
故
圆心到RS的距离
解得t=±1.
故t的取值范围是{-1,1}.
点评:本题考查抛物线方程的求法,考查实数值的求法,考查满足条件的实数的取值范围的求法.解题时要认真审题,仔细解答,注意点到直线的距离公式的求法.
练习册系列答案
相关题目