题目内容
A.
B.
C.6
D.4
【答案】分析:根据三视图,还原成几何体,再根据长度关系,即可求得几何体的体积
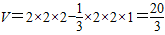
解答:解:由三视图知,原几何体为一个正方体挖掉一个正四棱锥
其中正方体的棱为2,正四棱柱的底面边长为正方体的上底面,高为1
∴原几何体的体积为
故选A
点评:本题考查三视图,要求能把三视图还原成原几何体,有比较好的空间想象力,能根据三视图找到原几何体中的垂直平行关系和长度关系.属简单题
解答:解:由三视图知,原几何体为一个正方体挖掉一个正四棱锥
其中正方体的棱为2,正四棱柱的底面边长为正方体的上底面,高为1
∴原几何体的体积为
故选A
点评:本题考查三视图,要求能把三视图还原成原几何体,有比较好的空间想象力,能根据三视图找到原几何体中的垂直平行关系和长度关系.属简单题
练习册系列答案
相关题目