题目内容

(本题满分15分)如图,已知直线与抛物线和圆都相切,的焦点.

(1)求的值;

(2)设上的一动点,以为切点作抛物线的切线,直线轴于点,以为邻边作平行四边形,证明:点在一条定直线上;

(3)在(2)的条件下,记点所在的定直线为,直线轴交点为,连接交抛物线两点,求的面积的取值范围.

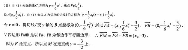
(1)  ,     ……4分

   (2)设     则  ……6分

     因为 AFMB为平行四边形,所以AB中点与MF中点重合,可得:

     因此,点M所在的直线方程为:      ……9分

(3),带入抛物线方程得:

               ……12分

        ……15分

练习册系列答案
相关题目

违法和不良信息举报电话:027-86699610 举报邮箱:58377363@163.com

精英家教网