题目内容
已知椭圆的中心在原点,焦点在x轴上,离心率为(1)求椭圆的方程.
(2)求m的取值范围.
(3)当m=1时,求弦长|AB|的值.
【答案】分析:(1)设出椭圆方程,利用离心率为
,且经过点M(4,1),建立方程,求出几何量,即可求椭圆的方程.
(2)直线与椭圆方程联立,利用判别式可得结论;
(3)直线与椭圆方程联立,利用韦达定理,即可求弦长|AB|的值.
解答:解:(1)设椭圆方程为
(a>b>0),则
∵离心率为
,∴a2=4b2①
∵椭圆经过点M(4,1),∴
②
由①②可得a2=20,b2=5
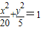
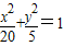
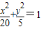
∴椭圆的方程为
;
(2)将直线l:y=x+m代入椭圆
,消去y可得5x2+8mx+4m2-20=0
∵直线l:y=x+m交椭圆于A,B两不同的点
∴△=64m2-20(4m2-20)>0,
∴-5<m<5;
(3)当m=1时,直线y=x+1代入椭圆方程
,消去y整理得5x2+8x-16=0,
设A(x1,y1),B(x2,y2),则x1+x2=-
,x1x2=-
,
∴|AB|=
|x1-x2|=
=
=
.
点评:本题考查椭圆的标准方程,考查直线与椭圆的位置关系,考查学生的计算能力,属于中档题.
(2)直线与椭圆方程联立,利用判别式可得结论;
(3)直线与椭圆方程联立,利用韦达定理,即可求弦长|AB|的值.
解答:解:(1)设椭圆方程为
∵离心率为
∵椭圆经过点M(4,1),∴
由①②可得a2=20,b2=5
∴椭圆的方程为
(2)将直线l:y=x+m代入椭圆
∵直线l:y=x+m交椭圆于A,B两不同的点
∴△=64m2-20(4m2-20)>0,
∴-5<m<5;
(3)当m=1时,直线y=x+1代入椭圆方程
设A(x1,y1),B(x2,y2),则x1+x2=-
∴|AB|=
点评:本题考查椭圆的标准方程,考查直线与椭圆的位置关系,考查学生的计算能力,属于中档题.
练习册系列答案
相关题目