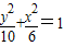
题目内容
椭圆的两焦点为(-2,0)和(2,0),且椭圆过点(A.
=1
B.
=1
C.
=1
D.
=1
解析:由题意,焦点在x轴上,c=2,设方程为
=1.
代入(
,-
),则a2=10.
∴所求方程为
=1.
答案:D
练习册系列答案
相关题目
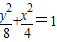
若椭圆的两焦点为(-2,0)和(2,0),且椭圆过点(
,-
),则椭圆方程是( )
| 5 |
| 2 |
| 3 |
| 2 |
A、
| ||||
B、
| ||||
C、
| ||||
D、
|
题目内容
椭圆的两焦点为(-2,0)和(2,0),且椭圆过点(A.
=1
B.
=1
C.
=1
D.
=1
解析:由题意,焦点在x轴上,c=2,设方程为
=1.
代入(
,-
),则a2=10.
∴所求方程为
=1.
答案:D
| 5 |
| 2 |
| 3 |
| 2 |
A、
| ||||
B、
| ||||
C、
| ||||
D、
|