题目内容
设直线x=t与函数f(x)=x2,g(x)=lnx的图象分别交于点M,N,则当|MN|达到最小时t的值为( )A.1
B.
C.
D.
【答案】分析:将两个函数作差,得到函数y=f(x)-g(x),再求此函数的最小值对应的自变量x的值.
解答:解:设函数y=f(x)-g(x)=x2-lnx,求导数得
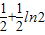
=
当
时,y′<0,函数在
上为单调减函数,
当
时,y′>0,函数在
上为单调增函数
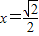
所以当
时,所设函数的最小值为
所求t的值为
故选D
点评:可以结合两个函数的草图,发现在(0,+∞)上x2>lnx恒成立,问题转化为求两个函数差的最小值对应的自变量x的值.
解答:解:设函数y=f(x)-g(x)=x2-lnx,求导数得
当
当
所以当
所求t的值为
故选D
点评:可以结合两个函数的草图,发现在(0,+∞)上x2>lnx恒成立,问题转化为求两个函数差的最小值对应的自变量x的值.
练习册系列答案
相关题目
设直线x=t与函数f(x)=x2,g(x)=lnx的图象分别交于点M,N,则当|MN|达到最小时t的值为( )
| A、1 | ||||
B、
| ||||
C、
| ||||
D、
|