题目内容
已知A(0,-4),B(3,2),抛物线y2=8x上的点到直线AB的最短距离为 .
【答案】分析:用两点式求得直线AB的方程为 2x-y-4=0,设抛物线y2=8x上的点P(t,t2),求得点P到直线AB的距离 d=
≥
,从而得出结论.
解答:解:用两点式求得直线AB的方程为
=
,即2x-y-4=0,
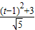
设抛物线y2=8x上的点P(t,t2),则点P到直线AB的距离
,
故答案为
.
点评:本题主要考查用两点式求直线的方程,点到直线的距离公式、二次函数的性质的应用,属于中档题.
解答:解:用两点式求得直线AB的方程为
设抛物线y2=8x上的点P(t,t2),则点P到直线AB的距离
故答案为
点评:本题主要考查用两点式求直线的方程,点到直线的距离公式、二次函数的性质的应用,属于中档题.
练习册系列答案
相关题目