题目内容


已知数列{an}的前n项和为Sn,数列{bn}中,b1a1bnanan-1(n≥2),且anSnn.

(1)设cnan-1,求证:{cn}是等比数列;

(2)求数列{bn}的通项公式.


解析 (1)证明 ∵anSnn,①

an+1Sn+1n+1.②

②-①得an+1anan+1=1,

∴2an+1an+1,∴2(an+1-1)=an-1,

,∴{an-1}是等比数列.

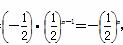
∵首项c1a1-1,又a1a1=1.

a1,∴c1=-,公比q.

cnan-1,

∴{cn}是以-为首项,公比为的等比数列.

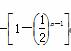
(2)由(1)可知cn

ancn+1=1-n.

∴当n≥2时,bnanan-1=1-n

n-1nn.

b1a1代入上式也符合,∴bnn.


练习册系列答案
相关题目

违法和不良信息举报电话:027-86699610 举报邮箱:58377363@163.com

精英家教网