题目内容
已知数列{an}是一个公差大于0的等差数列,且满足a3a6=55,a2+a7=16(1)求数列{an}的通项公式;
(2)数列{an}和数列{bn}满足等式an=
【答案】分析:(1)设等差数列{an}的公差为d,分别表示出a2a6=55,a2+a7=16联立方程求得d和a1进而根据等差数列通项公式求得an.
(2)令cn=
,则有an=c1+c2+…+cn,an+1=c1+c2+…+cn+1两式相减得cn+1等于常数2,进而可得bn,进而根据b1=2a1求得b1则数列{bn}通项公式可得,进而根据从第二项开始按等比数列求和公式求和再加上b1.
解答:解:(1)设等差数列{an}的公差为d,
则依题意可知d>0由a2+a7=16,
得2a1+7d=16①
由a3a6=55,得(a1+2d)(a1+5d)=55②
由①②联立方程求得
得d=2,a1=1或d=-2,a1=
(排除)
∴an=1+(n-1)•2=2n-1
(2)令cn=
,则有an=c1+c2+…+cn
an+1=c1+c2+…+cn+1
两式相减得
an+1-an=cn+1,由(1)得a1=1,an+1-an=2
∴cn+1=2,即cn=2(n≥2),
即当n≥2时,
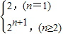
bn=2n+1,又当n=1时,b1=2a1=2
∴bn=
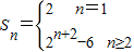
于是Sn=b1+b2+b3+…+bn=2+23+24+…2n+1=2n+2-6,n≥2,
.
点评:本题主要考查等差数列的性质和等比数列的性质.考查了对数列问题的综合把握.
(2)令cn=
解答:解:(1)设等差数列{an}的公差为d,
则依题意可知d>0由a2+a7=16,
得2a1+7d=16①
由a3a6=55,得(a1+2d)(a1+5d)=55②
由①②联立方程求得
得d=2,a1=1或d=-2,a1=
∴an=1+(n-1)•2=2n-1
(2)令cn=
an+1=c1+c2+…+cn+1
两式相减得
an+1-an=cn+1,由(1)得a1=1,an+1-an=2
∴cn+1=2,即cn=2(n≥2),
即当n≥2时,
bn=2n+1,又当n=1时,b1=2a1=2
∴bn=
于是Sn=b1+b2+b3+…+bn=2+23+24+…2n+1=2n+2-6,n≥2,
点评:本题主要考查等差数列的性质和等比数列的性质.考查了对数列问题的综合把握.
练习册系列答案
相关题目