搜索
题目内容
若
,
,
,则
从小到大的顺序为
.
试题答案
相关练习册答案
【答案】
【解析】
试题分析:
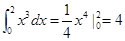
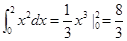
,
,
,
故
.
考点:微积分基本定理.
练习册系列答案
探究活动报告册系列答案
家庭作业系列答案
课堂作业同步练习系列答案
教材完全解读系列答案
课程达标测试卷系列答案
清华绿卡核心密卷创新测试卷系列答案
小学素质强化训练AB卷系列答案
一路领航核心密卷系列答案
同步题组训练与测评系列答案
校缘题库优等生兵法系列答案
相关题目
若
a=
ln2
2
,b=
ln3
3
,c=
ln5
5
,则从小到大的排列顺序是
c<a<b
c<a<b
.
若a=log
3
π,b=log
7
6,c=log
2
0.8,则从小到大的顺序为
c<b<a
c<b<a
.
(2004•河西区一模)“渐升数”是指每个数字比它左边的数字大的正整数(如1 4 5 8),则四位“渐升数”共有
126
126
个,若把这些数按从小到大的顺序排列,则第60个数为
2348
2348
.
“渐升数”是指每个数字比其左边的数字大的正整数(如34689).则五位“渐升数”共有
个,若把这些数按从小到大的顺序排列,则第100个数为
.
关 闭
试题分类
高中
数学
英语
物理
化学
生物
地理
初中
数学
英语
物理
化学
生物
地理
小学
数学
英语
其他
阅读理解答案
已回答习题
未回答习题
题目汇总
试卷汇总
练习册解析答案