题目内容
已知函数f(x)=x3-ax2+10,(I)当a=1时,求曲线y=f(x)在点(2,f(2))处的切线方程;
(II)在区间[1,2]内至少存在一个实数x,使得f(x)<0成立,求实数a的取值范围.
【答案】分析:(I)求出导函数,求出f′(2)即切线的斜率,求出f(2),利用点斜式写出切线的方程.
(II)分离出参数a,构造函数g(x),求出g(x)的导函数,判断出g(x)在区间[1,2]内的单调性,求出g(x)的最小值,求出a的范围.
解答:解:(I)当a=1时,f′(x)=3x2-2x,f(2)=14,
曲线y=f(x)在点(2,f(2))处的切线斜率k=f′(2)=8,
所以曲线y=f(x)在点(2,f(2))处的切线方程为8x-y-2=0.
(II).有已知得:
,
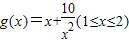
设
,
,
∵1≤x≤2∴g′(x)<0
所以g(x)在[1,2]上是减函数.
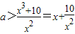
∴
,
所以
.
点评:求切线的方程常利用曲线的导数在切点处的导数值为切线的斜率;解决不等式恒成立的参数范围问题常采用分离参数求函数的最值.
(II)分离出参数a,构造函数g(x),求出g(x)的导函数,判断出g(x)在区间[1,2]内的单调性,求出g(x)的最小值,求出a的范围.
解答:解:(I)当a=1时,f′(x)=3x2-2x,f(2)=14,
曲线y=f(x)在点(2,f(2))处的切线斜率k=f′(2)=8,
所以曲线y=f(x)在点(2,f(2))处的切线方程为8x-y-2=0.
(II).有已知得:
设
∵1≤x≤2∴g′(x)<0
所以g(x)在[1,2]上是减函数.
∴
所以
点评:求切线的方程常利用曲线的导数在切点处的导数值为切线的斜率;解决不等式恒成立的参数范围问题常采用分离参数求函数的最值.
练习册系列答案
相关题目
| π |
| 2 |
A、f(x)=2sin(πx+
| ||
B、f(x)=2sin(2πx+
| ||
C、f(x)=2sin(πx+
| ||
D、f(x)=2sin(2πx+
|