搜索
题目内容
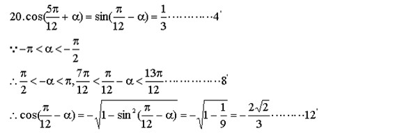
试题答案
相关练习册答案
解析
练习册系列答案
小学生生活系列答案
小学毕业总复习系列答案
优翼专项小学升学总复习系统强化训练系列答案
小学升初中夺冠密卷系列答案
小学升初中核心试卷系列答案
小学升初中进重点校必练密题系列答案
期末测试卷系列答案
小学培优总复习系列答案
小学科学探究手册系列答案
小学达标训练系列答案
相关题目
若
f(x)=a+
1
2
x
+1
是奇函数,则a=
.
已知函数f(x)的定义域为x∈[-
1
2
,
3
2
],求g(x)=f(ax)+f(
x
a
))a>0)的定义域.
已知f(x)=x
2
+2x-3,用图象法表示函数g(x)=
f(x)+|f(x)|
2
.
如图,函数f(x)的图象是折线段ABC,其中A,B,C的坐标分别为(0,4),(2,0),(6,4),则f(f(0))=
;
lim
△x→0
f(1+△x)-f(1)
△x
=
.(用数字作答)
直线y=2x是△ABC中∠C的平分线所在的直线,若A、B坐标分别为A(-4,2)、B(3,1),求点C的坐标,并判断△ABC的形状.
关 闭
试题分类
高中
数学
英语
物理
化学
生物
地理
初中
数学
英语
物理
化学
生物
地理
小学
数学
英语
其他
阅读理解答案
已回答习题
未回答习题
题目汇总
试卷汇总
练习册解析答案