搜索
题目内容
题干
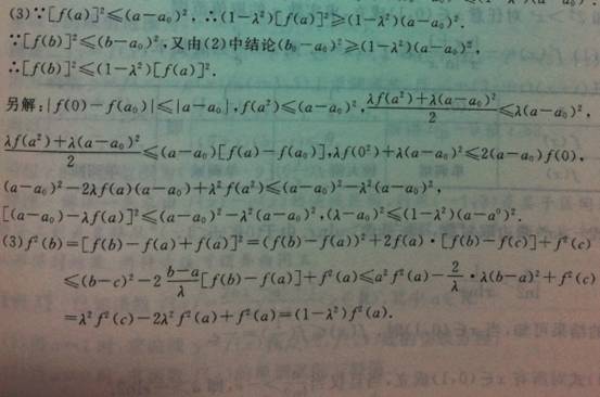
试题答案
相关练习册答案
答案
练习册系列答案
快速课课通系列答案
李庚南初中数学自选作业系列答案
大儒教育练测考系列答案
亮点给力考点激活系列答案
领航中考系列答案
领跑中考系列答案
龙门之星系列答案
初中毕业学业考试指南系列答案
绿色新课堂中考总复习系列答案
中考数学合成演练30天系列答案
相关题目
第8题的题干为:如图,已知正方形的边长为1,在正方形ABCD中有两个相切的内切圆.
(1)求这两个内切圆的半径之和;
(2)当这两个圆的半径为何值时,两圆面积之和有最小值?当这两个圆的半径为何值时,两圆面积之和有最大值?
变式(1)在第8题中,若正方形改为矩形,情况又如何?
(2)在第8题中,若正方形改为正方体,圆改为球,情况如何?
在△ABC中,a、b、c分别是角A、B、C的对边,且
A=
π
3
.
(1)若a=1,面积
S
△ABC
=
3
4
,求b+c的值;
(2)求
a
b-c
•sin(
π
3
-C)
的值(注意,此问只能使用题干的条件,不能用(1)问的条件).
(2013•泉州模拟)在某次模块水平测试中,某同学对于政治、历史、地理这三个学科每个学科是否能达到优秀水平的概率都为
1
2
,记政治、历史、地理达到优秀水平的事件分别为A
1
、A
2
、A
3
,未达到优秀水平的事件分别为
.
A
1
、
.
A
2
、
.
A
3
.
(Ⅰ)若将事件“该同学这三科中恰有两科达到优秀水平”记为M,试求事件M发生的概率;
(Ⅱ)请依据题干信息,仿照(Ⅰ)的叙述,设计一个关于该同学测试成绩情况的事件N,使得事件N发生的概率大于85%,并说明理由.
题干
已知焦点在
轴上,中心在坐标原点的椭圆C的离心率为
,且过点
(题干自编)
(I)求椭圆C的方程;
(II)直线
分别切椭圆C与圆
(其中
)于
两点,求
的最大值。
关 闭
试题分类
高中
数学
英语
物理
化学
生物
地理
初中
数学
英语
物理
化学
生物
地理
小学
数学
英语
其他
阅读理解答案
已回答习题
未回答习题
题目汇总
试卷汇总
练习册解析答案