题目内容
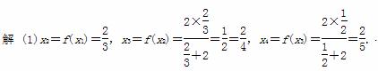
设
(1)求x2,x3,x4的值;
(2)归纳并猜想{xn}的通项公式;
(3)用数学归纳法证明你的猜想.
直线l经过点P(-5,-4),且与两坐标轴围成的三角形面积为5,则直线l的方程为________.
已知,则函数的零点的个数为( )个.
(A)3 (B)4 (C)5 (D)6
如图,已知曲边梯形ABCD的曲边DC所在的曲线方程为,e是自然对数的底,则曲边梯形的面积是
A. 1 B. e C. D.
如图,已知点,点在曲线上,若阴影部分面积与△面积相等时,则 .
函数y=-lg x的定义域为( )
A.{x|x>1} B.{x|x≥1}
C.{x|x≤0} D.{x|x≥1}∪{0}
若函数f(x)=loga(2x+1)(a>0,且a≠1)在区间内恒有f(x)>0,则f(x)的单调减区间是( )
A. B.
C.(-∞,0) D.(0,+∞)
已知an=n(n+1),以下四个数中,哪个是数列{an}中的一项( )
A.18 B.21
C.25 D.30
若圆x2+y2=1与直线y=kx+2没有公共点,则实数k的取值范围是________.