题目内容

18.设{an}是公比大于1的等比数列,Sn为数列{an}的前n项和.已知S3=7,且a1+3,3a2,a3+4构成等差数列.

(Ⅰ)求数列{an}的通项,

(Ⅱ)令bn=lna3n+1,n=1,2,…,求数列{bn}的前n项和Tn.

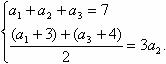
解:(Ⅰ)由已知得

解得a2=2.

设数列{an)的公比为q,由a2=2,可得a1=,a3=2q,

又S3=7,可知+2+2q=7,

即2q2-5q+2=0.

解得q1=2,q2=.

由题意得q>1,∴q=2.

∴a2=1.

故数列{an}的通项为an=2n-1.

(Ⅱ)由于bn=lna3n+1,n=1,2,…,

由(Ⅰ)得a3n+1=23n.

∴bn=ln23n=3nln2,

又bn+1-bn=3ln2,

∴{bn}是等差数列.

∴Tn=b1+b2+…+bn

=

=

=.

故Tn=.

练习册系列答案
相关题目

违法和不良信息举报电话:027-86699610 举报邮箱:58377363@163.com

精英家教网