题目内容


若数列{an},{bn}的通项公式分别是an=(-1)n+2 013·abn=2+,且an<bn对任意n∈N*恒成立,则常数a的取值范围是(  )

A.(-2,1)                              B.[-2,1) 

C.(-2,1]                              D.[-2,1]


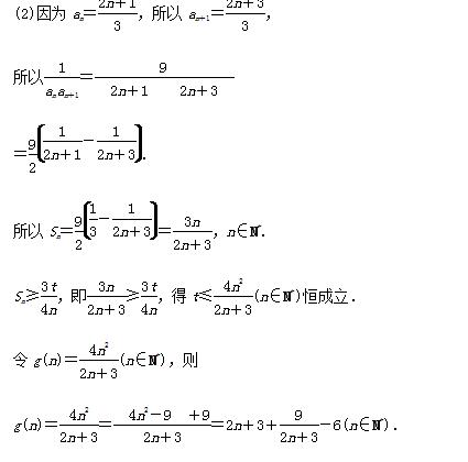
解:(1)由an,可得anan-1n∈N*n≥2.所以{an}是等差数列.

又因为a1=1,

所以an=1+(n-1)×n∈N*.

p=2n+3,则p≥5,p∈N*.

g(n)=p-6(n∈N*),易知p=5时,g(n)min.所以t,即实数t的取值范围是


练习册系列答案
相关题目

违法和不良信息举报电话:027-86699610 举报邮箱:58377363@163.com

精英家教网