题目内容
某厂生产产品x件的总成本c(x)=(1)设产量为x件时,总利润为L(x)(万元),求L(x)的解析式;
(2)产量x定为多少件时总利润L(x)(万元)最大?
【答案】分析:(1)利用一件产品的单价可得得出k,进而得出P与x的关系,用毛利润减去总成本即可得出总利润;
(2)利用导数即可得出极大值,进而得到最大值.
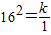
解答:解:(1)由题意有
,解得k=256,
∴
,
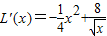
∴总利润
=
;
(2)由(1)得
,令
,
解得x=4,则x=4,所以当产量定为4时,总利润最大.
答:产量x定为4件时总利润L(x)最大.
点评:熟练掌握利润与成本的关系、利用导数研究函数的单调性极值与最值等是解题的关键.
(2)利用导数即可得出极大值,进而得到最大值.
解答:解:(1)由题意有
∴
∴总利润
(2)由(1)得
解得x=4,则x=4,所以当产量定为4时,总利润最大.
答:产量x定为4件时总利润L(x)最大.
点评:熟练掌握利润与成本的关系、利用导数研究函数的单调性极值与最值等是解题的关键.
练习册系列答案
相关题目