题目内容
(12分)已知函数
, x∈(- 1,1).
(Ⅰ)判断f(x)的奇偶性,并证明;
(Ⅱ)判断f(x)在(- 1,1)上的单调性,并证明.
证明:(Ⅰ)∵x∈(-1,1)且对定义域内的任意x均有: ………1分
,………3分
∴函数f(x)是定义域内的奇数。 ………4分
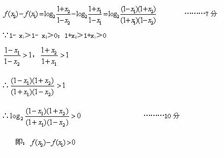
(Ⅱ)任取 -1<x1< x2<1, ………5分
![]()
练习册系列答案
相关题目
已知函数f(x)=
,则它是( )
| ||
| |x-3|-3 |
| A、奇函数 | B、偶函数 |
| C、既奇又偶函数 | D、非奇非偶函数 |
已知函数f(x)=
则“-2≤a≤0”是“f(x)在R上单调递增”的( )
|
| A、充分而不必要条件 |
| B、必要而不充分条件 |
| C、充分必要条件 |
| D、既不充分也不必要条件 |