题目内容
已知函数
,x∈(- 1,1)。
(Ⅰ)判断f(x)的奇偶性,并证明;
(Ⅱ)判断f(x)在(-1,1)上的单调性,并证明。
(Ⅰ)判断f(x)的奇偶性,并证明;
(Ⅱ)判断f(x)在(-1,1)上的单调性,并证明。
解:(Ⅰ)∵x∈(-1,1),且对定义域内的任意x均有:
,
∴函数f(x)是定义域内的奇函数。
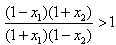
(Ⅱ)任取 -1<x1<x2<1,
则
,
∵1-x1>1-x2>0,1+x2>1+x1>0,
,
∴
,
∴
,即
,
∴函数
在(-1,1)上是增函数。
练习册系列答案
相关题目
已知函数f(x)=
,则它是( )
| ||
| |x-3|-3 |
| A、奇函数 | B、偶函数 |
| C、既奇又偶函数 | D、非奇非偶函数 |
已知函数f(x)=
则“-2≤a≤0”是“f(x)在R上单调递增”的( )
|
| A、充分而不必要条件 |
| B、必要而不充分条件 |
| C、充分必要条件 |
| D、既不充分也不必要条件 |