搜索
题目内容
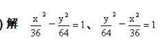
(12分)求与双曲线
=1共渐近线且焦点在圆
上的双曲线的标准方程。
试题答案
相关练习册答案
答案
练习册系列答案
新校园快乐假期系列寒假生活指导系列答案
新思维寒假作业系列答案
新路学业寒假作业快乐假期新疆青少年出版社系列答案
新课堂假期生活假期作业寒假合编系列答案
新课程寒假作业广西师范大学出版社系列答案
新课程寒假作业本系列答案
新课标快乐提优寒假作业陕西旅游出版社系列答案
新课标寒假衔接系列答案
新课标高中假期作业系列答案
新课标高中寒假作业合肥工业大学出版社系列答案
相关题目
已知焦点在x轴上的双曲线C的两条渐近线过坐标原点,且两条渐近线与以点A(0,
2
)为圆心、1为半径的圆相切,又知双曲线C的一个焦点与点A关于直线y=x对称.
(1)求双曲线C的方程;
(2)求与双曲线C共渐近线,且过点(1,
2
)的双曲线方程,并求出此双曲线方程的焦点坐标,长轴长和虚轴长.
求与双曲线
=1共渐近线,且过点A(2
,-3)的双曲线方程.
(12分)求与双曲线
=1共渐近线且焦点在圆
上的双曲线的标准方程。
求与双曲线
=1共渐近线且过A(3
,-3)的双曲线的方程.
关 闭
试题分类
高中
数学
英语
物理
化学
生物
地理
初中
数学
英语
物理
化学
生物
地理
小学
数学
英语
其他
阅读理解答案
已回答习题
未回答习题
题目汇总
试卷汇总
练习册解析答案