题目内容
某三棱锥的三视图如所示,该三棱锥的体积为( )
A.20 B.
C.56
D.60
【答案】
B
【解析】
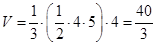
试题分析:根据三视图可知该三棱锥为一个底面是直角三角形,高为4的棱锥,于是
,故选B.
考点:本小题主要考查三视图、体积计算
练习册系列答案
相关题目