题目内容

如图,在四棱锥中,底面为菱形,的中点.

(1)若,求证:平面平面

(2)点在线段上,,试确定的值,使平面.

 

【答案】

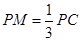
(1)详见解析;(2).

【解析】

试题分析:(1)要证平面平面,需要证明平面,只需证明

均成立;(2)探索性问题,要点在线段上,当平面

需要求出,只需证明,即证明,需证,而∥平面是已知条件,显然成立.

试题解析:(1)连四边形为菱形,

 , 为正三角形,的中点,

 ,                                                  3分

,的中点,

平面平面

平面平面.                                         6分

(2)当时,∥平面

证明:若∥平面,连

可得,,    ,       9分

∥平面,平面,平面平面,

, ,即:.         13分

考点:四棱锥的性质,线线、线面、面面的垂直与平行,相似三角形的性质.

 

练习册系列答案
相关题目

违法和不良信息举报电话:027-86699610 举报邮箱:58377363@163.com

精英家教网