题目内容
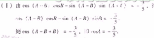
在中,角的对边分别为,且。
(Ⅰ)求的值;
(Ⅱ)若,,求向量在方向上的投影。
(2)
解得c=1或c=-7(负值舍去)
在△中,角的对边分别为,.
(Ⅰ)求角的大小;
(Ⅱ)求函数的值域
已知点是函数图象上的任意两点,若时,的最小值为,且函数的图像经过点.
(Ⅰ)求函数的解析式;
(Ⅱ)在中,角的对边分别为,且,求的取值范围.
在△中,角的对边分别为,若,则的值为( )
A. B. C. D.
在△中,角的对边分别为,且.
(Ⅱ)若,求△的面积.
在中,角的对边分别为.
(Ⅰ)若,求角的大小;
(Ⅱ)若,求的值.