题目内容
某建筑的金属支架如图所示,根据要求AB至少长2.8m,C为AB的中点,B到D的距离比CD的长小0.5m,∠BCD=60°,已知建筑支架的材料每米的价格一定,问怎样设计AB,CD的长,可使建造这个支架的成本最低?
![]()
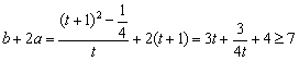
解:设BC=am(a≥1.4),CD=bm,
连结BD,
则在△CDB中,
,
∴
,
∴
设
,
则
等号成立时,
,
答:当AB=3m,CD=4m时,建造这个支架的成本最低。
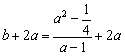
连结BD,
则在△CDB中,
∴
∴
设
则
等号成立时,
答:当AB=3m,CD=4m时,建造这个支架的成本最低。
练习册系列答案
相关题目