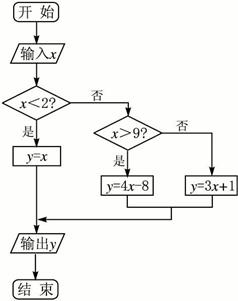
题目内容
当输入x的值时,输出相应的函数值,并画出程序框图.
算法分析:需要先对输入的x值进行判断,在哪个范围内则进行相应的计算,再求出函数值.
程序框图:
东升中学的学生王丫在设计计算函数
f(x)=+的值的程序时,发现当sinx和cosx满足方程2y2-(+1)y+k=0时,无论输入任意实数k,f(x)的值都不变,你能说明其中的道理吗?这个定值是多少?