题目内容
已知f(x)=(1)求函数f(x)的最小正周期;
(2)当
【答案】分析:(1)利用两角和公式对函数解析式化简整理后.利用三角函数的周期公式求得函数的最小正周期.
(2)f(x)=0,求得cos(2x+
)的值,进而利用x的范围,求得x的值.
解答:解:(1)f(x)=cos2x-sin2x=
故T=
=π
(2)令f(x)=0,
=0,
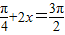
又∵
∴
∴
解得
函数f(x)的零点是
点评:本题主要考查了三角函数的周期性及其求法,两角和公式的和二倍角公式的化简求值.考查了基础知识的综合运用.
(2)f(x)=0,求得cos(2x+
解答:解:(1)f(x)=cos2x-sin2x=
故T=
(2)令f(x)=0,
又∵
∴
∴
解得
函数f(x)的零点是
点评:本题主要考查了三角函数的周期性及其求法,两角和公式的和二倍角公式的化简求值.考查了基础知识的综合运用.
练习册系列答案
相关题目