题目内容
在等差数列{an}中,已知a2=7,a3+a6=24,则{an}的前n项的和Sn= .
【答案】分析:由题意可得关于首项和公差的方程组,解之代入求和公式可得.
解答:解:设等差数列{an}的公差为d,
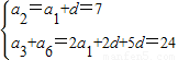
则
,
解之可得
,
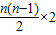
故Sn=5n+
=n2+4n
故答案为:n2+4n
点评:本题考查等差数列的通项公式和求和公式,求出数列的首项和公差是解决问题的关键,属基础题.
解答:解:设等差数列{an}的公差为d,
则
解之可得
故Sn=5n+
故答案为:n2+4n
点评:本题考查等差数列的通项公式和求和公式,求出数列的首项和公差是解决问题的关键,属基础题.
练习册系列答案
相关题目