题目内容

已知正项数列的前项和为的等比中项.

(1)求证:数列是等差数列;

(2)若,且,求数列的通项公式;

(3)在(2)的条件下,若,求数列的前项和.

 

【答案】

(1)详见解析;(2) ;(3).

【解析】

试题分析:(1)利用关系找出数列的递推关系,可证明数列为等差数列;(2)由(1)可求出,由,可变形得出为等比数列,进一步求出其通项公式;(3)根据数列的结构特点(等差乘等比型)可用错位相减法求和.证明数列为等差数列或等比数列,应紧扣定义,通过对所给条件变形,得到递推关系,而等差乘等比型数列的求和最常用的就是错位相减法,使用这个方法在计算上要有耐心和细心,注意各项的符号,防止出错.

试题解析:(1)          1分

时,,∴                    2分

时,

               3分

      4分

   ∴

∴数列是等差数列                          5分

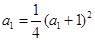
(2)由,而,          7分

∴数列是以2为公比,4为首项的等比数列

                                       9分

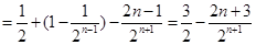
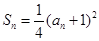
(3)                                10分

   ①

两边同乘以  ②

① ②得

 

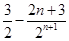
               14分

考点:等差数列、等比数列、错位相减法.

 

练习册系列答案
相关题目

违法和不良信息举报电话:027-86699610 举报邮箱:58377363@163.com

精英家教网