题目内容


求下列函数解析式.

(1)已知2ff(x)=x(x≠0),求f(x);

(2)已知f(x)+2f(-x)=x2+2x,求f(x).


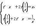
解析: (1)∵f(x)+2fx,将原式中的x互换,

f+2f(x)=.

于是得关于f(x)的方程组

解得f(x)=(x≠0).

(2)∵f(x)+2f(-x)=x2+2x

x换成-x,得f(-x)+2f(x)=x2-2x

∴将以上两式消去f(-x),得3f(x)=x2-6x

f(x)=x2-2x.


练习册系列答案
相关题目

违法和不良信息举报电话:027-86699610 举报邮箱:58377363@163.com

精英家教网