题目内容

 已知圆过两点,且圆心上.

(1)求圆的方程;

(2)设是直线上的动点,是圆的两条切线, 为切点,求四边形面积的最小值.

 (1) (2) 2

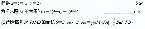
试题分析:(1)设圆的方程为:(x-a)2+(y-b)2=r2(r>0).

根据题意,得           ﹍﹍﹍﹍﹍﹍﹍3分

又|AM|=|BM|=2,|PA|=|PB|,  所以S=2|PA|,      ﹍﹍﹍﹍﹍﹍﹍8分

而|PA|=,   即S=2.

因此要求S的最小值,只需求|PM|的最小值即可,

即在直线3x+4y+8=0上找一点P,使得|PM|的值最小,﹍﹍﹍﹍﹍﹍﹍9分

所以|PM|min=3,                   ﹍﹍﹍﹍﹍﹍﹍10分

所以四边形PAMB面积的最小值为S=2=2=2.  ﹍﹍﹍12分

练习册系列答案
相关题目

违法和不良信息举报电话:027-86699610 举报邮箱:58377363@163.com

精英家教网