题目内容
已知椭圆E:(Ⅰ)求椭圆E的方程;
(Ⅱ)若圆:
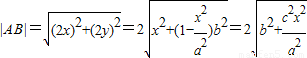
【答案】分析:(Ⅰ)设A(x,y)B(-x,y)F(c,0)(c2=a2+b),由椭圆定义及
可求a,而
可求b,进而可求椭圆方程
(Ⅱ)由题设条件可知直线的斜率存在,设直线L的方程为y=kx+m,由L与圆
相切,可得
L的方程为y=kx+m代入
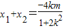
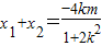
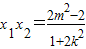
中得:(1+2k2)x2+4kmx+2m2-2=0,△=8(2k2+1-m2)>0令P(x1,y1),
Q(x2,y2),
,要证
,只要证明
即可
解答:解:(Ⅰ)设A(x,y)B(-x,y)F(c,0)(c2=a2+b)
则
-----------------------------------------(1分)
∵0≤x2≤a2∴|AB|min=2b=2∴b=1所以有椭圆E的方程为
-----------------(5分)
(Ⅱ)由题设条件可知直线的斜率存在,设直线L的方程为y=kx+m
L与圆
相切,
∴
∴
-----------------(7分)
L的方程为y=kx+m代入
中得:(1+2k2)x2+4kmx+2m2-2=0,
△=8(2k2+1-m2)>0令P(x1,y1),Q(x2,y2),
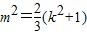
①
②
③--------------------(10分)
∴
------------------------------------------------------(12分)
点评:本题主要考查了由椭圆的性质、定义求解椭圆的方程,直线与圆、椭圆的位置关系的应用,解题中要求考试具备一定的逻辑推理、计算的能力.
(Ⅱ)由题设条件可知直线的斜率存在,设直线L的方程为y=kx+m,由L与圆
L的方程为y=kx+m代入
Q(x2,y2),
解答:解:(Ⅰ)设A(x,y)B(-x,y)F(c,0)(c2=a2+b)
则
∵0≤x2≤a2∴|AB|min=2b=2∴b=1所以有椭圆E的方程为
(Ⅱ)由题设条件可知直线的斜率存在,设直线L的方程为y=kx+m
L与圆
∴
∴
L的方程为y=kx+m代入
△=8(2k2+1-m2)>0令P(x1,y1),Q(x2,y2),
∴
点评:本题主要考查了由椭圆的性质、定义求解椭圆的方程,直线与圆、椭圆的位置关系的应用,解题中要求考试具备一定的逻辑推理、计算的能力.
练习册系列答案
相关题目