题目内容
设椭圆(1)求椭圆方程.
(2)过点P(0,2)的直线l与椭圆交于不同的两点A,B,当△OAB面积最大时,求|AB|.
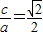
【答案】分析:(1)由椭圆的离心率和通径长及a2-b2=c2联立求出a,b的值,则椭圆方程可求;
(2)由题意设出直线方程,和椭圆方程联立后利用弦长公式求出弦长,由点到直线距离公式求出原点O到直线l的距离,利用换元法借助于不等式求出面积取最大值时的直线的斜率,从而求出直线被椭圆所截得的弦长.
解答:解:(1)由
,
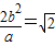
又过点F且与x轴垂直的直线被椭圆截得的线段长为
,
得
,且a2-b2=c2,解得a2=2,b2=1.
所以椭圆方程为
;
(2)根据题意可知,直线l的斜率存在,故设直线l的方程为y=kx+2,
设A(x1,y1),B(x2,y2)
由方程组
,消去y得关于x的方程(1+2k2)x2+8kx+6=0
由直线l与椭圆相交于A,B两点,则有△>0,
即64k2-24(1+2k2)=16k2-24>0,得
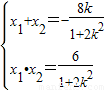
由根与系数的关系得
故
=
=
又因为原点O到直线l的距离
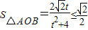
,故△OAB的面积
令
,则2k2=t2+3
所以
,当且仅当t=2时等号成立,
即
时,
.
点评:本题考查了椭圆的标准方程,考查了直线和圆锥曲线的综合题,解答的关键是利用根与系数关系得到弦长,代入面积公式后借助于基本不等式求最值,考查了学生的计算能力,属有一定难度题目.
(2)由题意设出直线方程,和椭圆方程联立后利用弦长公式求出弦长,由点到直线距离公式求出原点O到直线l的距离,利用换元法借助于不等式求出面积取最大值时的直线的斜率,从而求出直线被椭圆所截得的弦长.
解答:解:(1)由
又过点F且与x轴垂直的直线被椭圆截得的线段长为
得
所以椭圆方程为
(2)根据题意可知,直线l的斜率存在,故设直线l的方程为y=kx+2,
设A(x1,y1),B(x2,y2)
由方程组
由直线l与椭圆相交于A,B两点,则有△>0,
即64k2-24(1+2k2)=16k2-24>0,得
由根与系数的关系得
故
=
又因为原点O到直线l的距离
令
所以
即
点评:本题考查了椭圆的标准方程,考查了直线和圆锥曲线的综合题,解答的关键是利用根与系数关系得到弦长,代入面积公式后借助于基本不等式求最值,考查了学生的计算能力,属有一定难度题目.
练习册系列答案
相关题目
(本小题满分12分)
设椭圆
的左焦点为F,O为坐标原点,已知椭圆中心关于直线
对称点恰好落在椭圆的左准线上。
(1)求过O、F并且与椭圆右准线l相切的圆的方程;
|