题目内容
若数列{an}满足an+1-an=tan+1an(n∈N*,t为非零常数),且a1=1,
【答案】分析:先确定{
}是以1为首项,-
为公差的等差数列,求出数列的通项,即可得到结论.
解答:解:∵an+1-an=tan+1an,
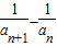
∴
=-t
∵a1=1,
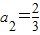
,
∴t=-
∴{
}是以1为首项,-
为公差的等差数列
∴
∴an=
∴a2012=
=-
故答案为:-
点评:本题考查数列递推式,考查等差数列的判定,属于基础题.
解答:解:∵an+1-an=tan+1an,
∴
∵a1=1,
∴t=-
∴{
∴
∴an=
∴a2012=
故答案为:-
点评:本题考查数列递推式,考查等差数列的判定,属于基础题.
练习册系列答案
相关题目