题目内容
已知向量
与
=(1,y)共线,设函数y=f(x),
(Ⅰ)求函数f(x)的周期及最大值;
(Ⅱ)已知锐角△ABC中的三个内角分别为 A、B、C,若有
,边BC=
,sinB=
,求△ABC的面积。
(Ⅰ)求函数f(x)的周期及最大值;
(Ⅱ)已知锐角△ABC中的三个内角分别为 A、B、C,若有
解:(1)因为
共线,
所以
,
则
,
所以f(x)的周期T=2π,
当
。
(2)因为
∴
,
∴
,
因为
,
∴
,
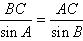
由正弦定理得
,
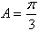
又
,
∴
,
∴
。
所以
则
所以f(x)的周期T=2π,
当
(2)因为
∴
∴
因为
∴
由正弦定理得
又
∴
∴
练习册系列答案
相关题目