题目内容
若f(x)=x2-x+b,且f(log2a)=b,log2[f(a)]=2(a≠1).(1)求f(log2x)的最小值及对应的x值;
(2)x取何值时,f(log2x)>f(1)且log2[f(x)]<f(1)?
【答案】分析:(1)把log2a代入f(x)中,解关于log2a的一元二次方程,求出a的值;再把f(a)的值代入log2[f(a)]=2中,求出b的值;从而确定函数f(x)的解析式;把log2x代入函数f(x)中,配方法求f(log2x)的最小值及对应的x值;
(2)利用对数恒等式和对数函数的单调性解不等式.
解答:解:(1)∵f(x)=x2-x+b,∴f(log2a)=log22a-log2a+b.
由已知有log22a-log2a+b=b,∴(log2a-1)log2a=0.(3分)
∵a≠1,∴log2a=1.∴a=2.(5分)
又log2[f(a)]=2,∴f(a)=4.
∴a2-a+b=4,b=4-a2+a=2.(8分)
故f(x)=x2-x+2,从而f(log2x)=log22x-log2x+2=(log2x-
)2+
.
∴当log2x=
即x=
时,f(log2x)有最小值
.(12分)
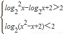
(2)由题意
0<x<1.(16分)
点评:利用对数恒等式和对数函数的单调性解不等式,注意对数函数的定义域,是易错点,属中档题.
(2)利用对数恒等式和对数函数的单调性解不等式.
解答:解:(1)∵f(x)=x2-x+b,∴f(log2a)=log22a-log2a+b.
由已知有log22a-log2a+b=b,∴(log2a-1)log2a=0.(3分)
∵a≠1,∴log2a=1.∴a=2.(5分)
又log2[f(a)]=2,∴f(a)=4.
∴a2-a+b=4,b=4-a2+a=2.(8分)
故f(x)=x2-x+2,从而f(log2x)=log22x-log2x+2=(log2x-
∴当log2x=
(2)由题意
点评:利用对数恒等式和对数函数的单调性解不等式,注意对数函数的定义域,是易错点,属中档题.
练习册系列答案
相关题目