题目内容
设区域
,区域
,在区域
中随机取一个点,则该点恰好在区域A中的概率为__________.
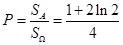
【答案】
![]()
【解析】
试题分析:区域
如图中阴影部分,区域
的面积为
,区域
的面积为
,所以该点恰好在区域
中的概率
.
![]()
考点:1.几何概型的应用;2.定积分公式求面积.
练习册系列答案
相关题目
题目内容
设区域
,区域
,在区域
中随机取一个点,则该点恰好在区域A中的概率为__________.
![]()
【解析】
试题分析:区域
如图中阴影部分,区域
的面积为
,区域
的面积为
,所以该点恰好在区域
中的概率
.
![]()
考点:1.几何概型的应用;2.定积分公式求面积.