题目内容

已知椭圆的中心在原点,一个焦点与抛物线的焦点重合,一个顶点的坐标为,则此椭圆方程为         

 

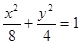
【答案】

【解析】

试题分析:此椭圆的方程是标准方程,抛物线的焦点为,说明椭圆的焦点在轴上,且,又顶点的坐标为说明,从而,故椭圆方程为

考点:椭圆的标准方程.

 

练习册系列答案
相关题目

违法和不良信息举报电话:027-86699610 举报邮箱:58377363@163.com

精英家教网