题目内容
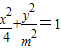
椭圆
【答案】分析:先根据椭圆的方程求得焦点坐标,进而可知双曲线的半焦距,根据双曲线的标准方程,求得m,答案可得.
解答:解:椭圆
得
∴c1=
,
∴焦点坐标为(
,0)(-
,0),
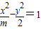
双曲线:
的焦点必在x轴上,
则半焦距c2=
∴
则实数m=1
故答案为:1.
点评:此题考查学生掌握圆锥曲线的共同特征,考查椭圆、双曲线的标准方程,以及椭圆、双曲线的简单性质的应用,利用条件求出a,b,c值,是解题的关键.
解答:解:椭圆
∴c1=
∴焦点坐标为(
双曲线:
则半焦距c2=
∴
则实数m=1
故答案为:1.
点评:此题考查学生掌握圆锥曲线的共同特征,考查椭圆、双曲线的标准方程,以及椭圆、双曲线的简单性质的应用,利用条件求出a,b,c值,是解题的关键.
练习册系列答案
相关题目