题目内容
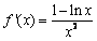
已知f(x)=
。
(1)讨论f(x)的单调性,并求出f(x)的最大值;
(2)求证:f(x)≤1-
;
(3)比较f(22)+f(32)+…+f(n2)与
的大小,并证明你的结论。
解:(1)
,令
得
令
得
又f(x)的定义域为(0,+∞),
∴f(x)在
上递增,在
上递减,从而
;
(2)要证
即证
∵
所以只需证
令
则
令
得
得
(
舍去)
∴
在(0,1)上递增,在(1,+
)上递减
∴
∴
成立,即
成立;
(3)由(2)知,
从而
∴
又
∴


即
。
令
又f(x)的定义域为(0,+∞),
∴f(x)在
(2)要证
∵
所以只需证
令
则
令
∴
∴
∴
(3)由(2)知,
∴
又
∴
即
练习册系列答案
相关题目