题目内容
【答案】分析:先将复数化简,再求其虚部.
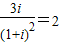
解答:解:
,所以其虚部等于0,故答案为0
点评:本题主要考查复数的运算,考查复数的基本概念,属于基础题.
解答:解:
点评:本题主要考查复数的运算,考查复数的基本概念,属于基础题.
练习册系列答案
相关题目
若复数z=(1+i)2+
,则z的虚部等于( )
| 2 |
| 1-i |
| A、1 | B、3 | C、i | D、3i |
题目内容
| 2 |
| 1-i |
| A、1 | B、3 | C、i | D、3i |