题目内容
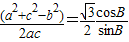
在△ABC中,角ABC的对边分别为a、b、c,若A.
B.
C.
D.
【答案】分析:通过余弦定理及
,求的sinB的值,又因在三角形内,进而求出B.
解答:解:由
∴
,即
∴
,又在△中所以B为
或
故选D
点评:本题主要考查余弦定理及三角中的切化弦.很多人会考虑对于角B的取舍问题,而此题两种都可以,因为我们的过程是恒等变形.条件中也没有其它的限制条件,所以有的同学就多虑了.虽然此题没有涉及到取舍问题,但在平时的练习过程中一定要注意此点
解答:解:由
∴
∴
故选D
点评:本题主要考查余弦定理及三角中的切化弦.很多人会考虑对于角B的取舍问题,而此题两种都可以,因为我们的过程是恒等变形.条件中也没有其它的限制条件,所以有的同学就多虑了.虽然此题没有涉及到取舍问题,但在平时的练习过程中一定要注意此点
练习册系列答案
相关题目