题目内容
设函数A.1
B.
C.0
D.不存在
【答案】分析:由题意可知
,由此可以求出
的值.
解答:解:∵f′(x)=mxm-1+a=2x+1,∴m=2,a=1.
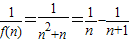
∴
,
∴
=
,
∴
=
故选A.
点评:本题考查数列的极限和导数的应用,解题时要认真审题,仔细解答,避免不必要的错误.
解答:解:∵f′(x)=mxm-1+a=2x+1,∴m=2,a=1.
∴
∴
∴
故选A.
点评:本题考查数列的极限和导数的应用,解题时要认真审题,仔细解答,避免不必要的错误.
练习册系列答案
相关题目