搜索
题目内容
求函数
的周期、单调区间、最小值以及取得最小值的x的集合。
试题答案
相关练习册答案
解:周期
;
单调增区间:
;
单调减区间:
;
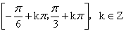
最小值1,此时
。
练习册系列答案
阶段性单元目标大试卷系列答案
金版卷王名师面对面大考卷系列答案
复习与考试系列答案
单元测试AB卷光明日报出版社系列答案
全能好卷系列答案
课课练活页卷系列答案
满分试卷期末冲刺100分系列答案
课程标准同步导练系列答案
新经典练与测系列答案
本土教辅名校学案小学生之友系列答案
相关题目
(2009•奉贤区二模)已知函数f(x)=2sin
2
(
π
4
+x)-
3
cos2x
(I)求f(x)的周期和单调递增区间
(II)若关于x的方程f(x)-m=2在x∈[
π
4
,
π
2
]上有解,求实数m的取值范围.
(2011•昌平区二模)已知函数
f(x)=
3
sin2x+2co
s
2
x
.
(I) 求
f(
π
3
)
;
(II)求函数f(x)的最小正周期和单调递增区间.
(2013•顺义区二模)已知函数
f(x)=
(
3
cosx-sinx)sin2x
2cosx
+
1
2
.
(Ⅰ)求
f(
π
3
)
的值;
(Ⅱ)求函数f(x)的最小正周期及单调递减区间.
(2013•昌平区二模)已知函数f(x)=sin(π-2x)+2
3
cos
2
x,x∈R.
(Ⅰ)求f(
π
6
);
(Ⅱ)求f(x)的最小正周期及单调递增区间.
(2013•青浦区一模)我们把定义在R上,且满足f(x+T)=af(x)(其中常数a,T满足a≠1,a≠0,T≠0)的函数叫做似周期函数.
(1)若某个似周期函数y=f(x)满足T=1且图象关于直线x=1对称.求证:函数f(x)是偶函数;
(2)当T=1,a=2时,某个似周期函数在0≤x<1时的解析式为f(x)=x(1-x),求函数y=f(x),x∈[n,n+1),n∈Z的解析式;
(3)对于确定的T>0且0<x≤T时,f(x)=3
x
,试研究似周期函数函数y=f(x)在区间(0,+∞)上是否可能是单调函数?若可能,求出a的取值范围;若不可能,请说明理由.
关 闭
试题分类
高中
数学
英语
物理
化学
生物
地理
初中
数学
英语
物理
化学
生物
地理
小学
数学
英语
其他
阅读理解答案
已回答习题
未回答习题
题目汇总
试卷汇总
练习册解析答案