题目内容
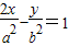
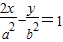
直线
【答案】分析:对直线方程令x=0,得到直线与y轴的交点坐标,即得直线
在y轴上的截距.
解答:解:∵直线方程为
,
∴令x=0,得y=-b2
可得直线与y轴的交点坐标为(0,-b2),即直线在y轴上的截距为-b2
故答案为:-b2
点评:本题给出直线方程,求直线在y轴上的截距.着重考查了直线的基本量与基本形式的知识,属于基础题.
解答:解:∵直线方程为
∴令x=0,得y=-b2
可得直线与y轴的交点坐标为(0,-b2),即直线在y轴上的截距为-b2
故答案为:-b2
点评:本题给出直线方程,求直线在y轴上的截距.着重考查了直线的基本量与基本形式的知识,属于基础题.
练习册系列答案
相关题目
[文]已知直线y=x+b的横截距在[-2,3]范围内,则直线在y轴上的截距b大于1的概率是( )
A、
| ||
B、
| ||
C、
| ||
D、
|