搜索
题目内容
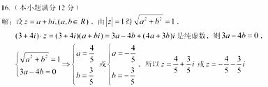
设复数z满足|z| = l且
是纯虚数,求复数z.
试题答案
相关练习册答案
练习册系列答案
快乐成长导学案系列答案
快乐练习课时全能练系列答案
课后练习与评价单元测试卷系列答案
学习之友系列答案
学生活动手册系列答案
每周最佳方案系列答案
名校1号系列答案
学习辅导报系列答案
全优考评一卷通系列答案
课外作业系列答案
相关题目
(2012•浦东新区一模)设复数z满足|z|=
10
,且(1+2i)z(i是虚数单位)在复平面上对应的点在直线y=x上,求z.
设复数z满足z•(1+i)=6-2i,则复数z的共轭复数是( )?
A.2-4i
B.2+4i
C.4+4i
D.4-4i
设复数Z满足Z(2-3i)=6+4i (i为虚数单位),则Z的模为( )
A.4
B.6
C.2
D.8
设复数z满足z(1-i)=2-4i,则复数z的虚部为
-1
-1
.
设复数z满足z(2-3i)=6+4i(其中i为虚数单位),则复数z的虚部为( )
A.0
B.2i
C.2
D.i
关 闭
试题分类
高中
数学
英语
物理
化学
生物
地理
初中
数学
英语
物理
化学
生物
地理
小学
数学
英语
其他
阅读理解答案
已回答习题
未回答习题
题目汇总
试卷汇总
练习册解析答案