题目内容

函数的图象( )
A.关于原点对称
B.关于直线y=x对称
C.关于x轴对称
D.关于y轴对称
【答案】分析:题设条件用意不明显,本题解题方法应从选项中突破,由于四个选项中有两个选项是与奇偶性有关的,故先验证奇偶性较好,
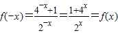
解答:解:
∴f(x)是偶函数,图象关于y轴对称
故选D.
点评:考查函数的对称性,宜从奇偶性入手研究.
练习册系列答案
相关题目

违法和不良信息举报电话:027-86699610 举报邮箱:58377363@163.com

精英家教网